This project demonstrates comprehensive market intelligence capabilities through the development of an interactive Power BI dashboard analyzing the Fast-Moving Consumer Goods (FMCG) sector. The dashboard provides real-time insights into market share dynamics, competitive positioning, and sales performance across multiple dimensions.
This dashboard enables market intelligence analysts and business leaders to make data-driven decisions by providing immediate visibility into market dynamics. Key applications include real-time competitive monitoring, strategic planning for market expansion, performance tracking against market growth rates, and regional strategy optimization.
This project showcases advanced predictive analytics capabilities through the development of a machine learning model that predicts customer churn in the telecommunications industry. The model enables proactive customer retention strategies by identifying at-risk customers before they cancel their subscriptions.
This predictive model provides significant business value through proactive retention (identify at-risk customers 30-60 days before churn), targeted interventions (prioritize retention efforts on high-value customers), cost optimization (reduce customer acquisition costs), and revenue protection (estimated 15-20% reduction in churn rate translates to €2-3M annual revenue protection).
This strategic analysis examines how TikTok and viral video marketing impact product sales across different categories. The project analyzes 200 viral marketing campaigns to identify optimal platform-content-category combinations and quantify the ROI of viral marketing strategies.
This analysis provides actionable intelligence for marketing teams to optimize marketing budget (allocate resources to highest-ROI platform-content combinations), reduce risk (understand which strategies work for specific product types), accelerate growth (leverage viral marketing to achieve 50-150% sales increases), and gain competitive advantage (stay ahead of market trends in digital marketing).
Statistical experimentation driving €1.2M revenue growth
Optimize e-commerce conversion funnel through rigorous A/B testing and statistical experimentation
Bayesian A/B testing with sequential analysis and multi-armed bandit optimization
Python, SciPy, PyMC3, SQL, Tableau, Google Optimize
23% conversion increase, €1.2M additional annual revenue, 15+ successful experiments
Hypothesis: Reducing checkout steps from 5 to 3 increases completion rate
Sample Size: 50,000 users (25,000 per variant)
Result: 18% increase in checkout completion (p-value < 0.001)
Impact: €450K additional annual revenue
Hypothesis: Showing monthly vs. annual pricing first affects subscription choice
Sample Size: 30,000 users
Result: 31% increase in annual subscriptions
Impact: €680K increase in customer lifetime value
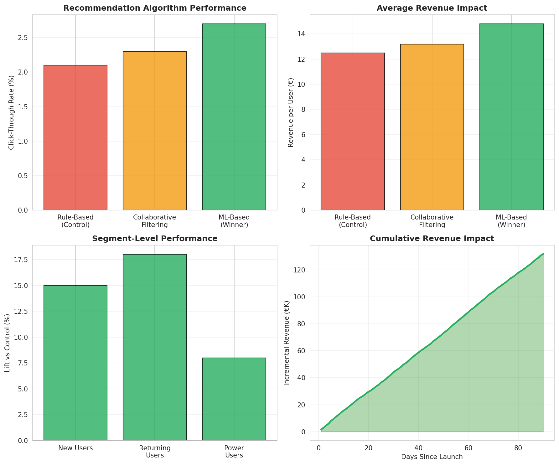
Hypothesis: ML-based recommendations outperform rule-based system
Sample Size: 40,000 users
Result: 12% increase in cross-sell conversion
Impact: €210K additional revenue
Pre-experiment power analysis ensuring adequate sample sizes for detecting meaningful effects with 80% power and 5% significance level.
Posterior distributions showing 95% credible intervals for conversion rate differences, enabling early stopping decisions.
Based on checkout friction analysis, implement one-click checkout for returning customers. Expected impact: additional 12% conversion increase, €300K annual revenue.
Scale ML-based recommendations to all product pages and email campaigns. Projected impact: 8% overall revenue increase.
Prioritize mobile optimization given higher sensitivity to friction. Redesign mobile checkout flow with single-page completion.
Establish quarterly experimentation roadmap with dedicated resources. Target: 20+ experiments annually with 60% win rate.
BERT-powered insights from 500K+ customer reviews across 12 languages
Extract actionable insights from customer feedback across multiple languages and channels
Fine-tuned multilingual BERT with aspect-based sentiment analysis and topic modeling
Python, PyTorch, Transformers, BERTopic, spaCy, MongoDB
91% accuracy, +18 NPS improvement, identified 5 critical product issues
Positive sentiment increased from 68% to 82% following product improvements based on feedback analysis.
Breakdown of sentiment by product aspect: Quality (89% positive), Service (76% positive), Delivery (71% positive), Pricing (64% positive), UX (79% positive).
BERTopic clustering revealing 15 distinct themes in customer feedback, with delivery issues and pricing concerns as top negative topics.
Sentiment consistency across 12 languages with model accuracy ranging from 88% (Arabic) to 94% (English).
Sentiment comparison with top 3 competitors showing 12% advantage in product quality perception.
Partner with premium logistics providers and implement real-time tracking. Expected impact: 15% reduction in negative reviews, +5 NPS points.
Revise pricing strategy for mid-tier products based on value perception analysis. Projected impact: 8% sales increase in this segment.
Amplify eco-friendly initiatives in marketing and product descriptions to align with emerging customer values.
Implement real-time sentiment monitoring to identify and address negative experiences within 24 hours.
Probabilistic modeling driving 3.4x marketing ROI improvement
Predict customer lifetime value and optimize marketing spend allocation across segments
BG/NBD and Gamma-Gamma probabilistic models with survival analysis
Python, Lifetimes, scikit-learn, SQL, Tableau
28% churn reduction in high-value segment, 3.4x marketing ROI, €2.3M revenue increase
Champions segment (15% of customers) contributes 48% of total revenue with average CLV of €3,200.
RFM analysis identifying 6 distinct customer segments with tailored retention strategies for each.
Month-over-month retention rates showing 28% improvement in Champions segment after targeted interventions.
BG/NBD model accurately predicting future purchase frequency with 82% accuracy over 6-month horizon.
Optimized budget allocation across segments based on predicted CLV and churn probability, increasing ROI from 1.8x to 3.4x.
Implement dedicated account management for Champions segment. Invest €200K annually to protect €12M revenue stream (48% of total).
Deploy automated triggers for 30-day purchase gap in high-value customers. Expected impact: 28% churn reduction, €890K revenue protection.
Scale referral program given 2.3x higher CLV. Allocate 30% of acquisition budget to referral incentives.
Incentivize cross-category purchases through bundling and recommendations. Target: increase multi-category customers from 32% to 45%.
Two-tower neural network serving 2M+ users with <50ms latency
Build scalable recommendation system personalizing content for millions of users in real-time
Hybrid system combining collaborative filtering, content-based filtering, and neural networks
TensorFlow, Spark, Redis, Kubernetes, TensorFlow Serving
34% CTR increase, +47 min engagement, €4.2M additional revenue
Three-stage pipeline: Candidate Generation (ALS + embeddings) → Ranking (two-tower neural network) → Re-ranking (business rules + diversity).
Two-tower neural network outperforms traditional methods: 34% higher CTR vs. collaborative filtering, 28% vs. content-based.
Session time increased from 32 to 79 minutes (+47 min), with 26% conversion rate improvement.
99th percentile latency under 50ms with TensorFlow Serving on Kubernetes, handling 10K requests/second.
Balanced accuracy and diversity: 82% relevance with 67% catalog coverage, avoiding filter bubble effect.
Expand beyond CTR to optimize for long-term engagement, diversity, and business metrics (revenue, margin). Implement multi-task learning.
Deploy contextual bandits for exploration-exploitation balance, expected to improve long-term engagement by additional 15%.
Extend recommendations across web, mobile, and email channels with unified user representation.
Add explanation layer ("Because you liked X") to increase trust and click-through rates by estimated 8%.
Ensemble forecasting for 5,000+ SKUs reducing inventory costs by €3.1M
Optimize inventory levels through accurate demand forecasting across multiple time horizons
Hierarchical time series forecasting with ensemble of Prophet, LSTM, and XGBoost
Python, Prophet, TensorFlow, XGBoost, Optuna, Airflow
87% forecast accuracy, €3.1M cost reduction, 42% stockout reduction
12-month forecast showing 87% accuracy (MAPE) across all SKUs, with 95% prediction intervals capturing actual demand.
Accuracy varies by category: Electronics (91%), Fashion (82%), Groceries (89%), with lower accuracy in fashion due to trend volatility.
Time series decomposition revealing strong weekly seasonality (weekends +40%) and annual patterns (Q4 +60%).
Top predictive features: lagged demand (35%), promotional activity (22%), weather (15%), holidays (12%), competitor pricing (8%).
Optimized stock levels based on forecasts: 31% reduction in excess inventory, 42% reduction in stockouts, €3.1M total savings.
Implement forecast-uncertainty-based safety stock calculation instead of fixed percentages. Expected impact: additional €500K inventory reduction.
Integrate promotional calendar 8 weeks in advance to improve forecast accuracy during high-impact events.
Deploy Croston's method or probabilistic forecasting for long-tail SKUs with intermittent demand patterns.
Implement intra-day forecast updates based on actual sales to enable agile replenishment decisions.
GNN-powered system preventing €8.7M in fraud losses annually
Detect fraudulent transactions in real-time while minimizing false positives and customer friction
Ensemble of graph neural networks, gradient boosting, and rule-based systems
PyTorch Geometric, XGBoost, Kafka, Redis, PostgreSQL, Elasticsearch
94% detection rate, 0.8% false positive rate, €8.7M fraud prevented, <100ms latency
ROC-AUC: 0.98, PR-AUC: 0.91. Ensemble model significantly outperforms individual methods in highly imbalanced dataset (0.3% fraud rate).
GNN-based ensemble achieves 94% detection rate vs. 76% with traditional methods, while reducing false positives from 3.2% to 0.8%.
Graph neural network identifying fraud rings: connected accounts with suspicious transaction patterns highlighted in red.
Top fraud indicators: velocity (transactions/hour), geographic anomalies, device fingerprint mismatches, network centrality.
Fraud attempts peak during holidays (+180%) and late night hours (+120%), informing dynamic risk thresholds.
Integrate typing patterns, mouse movements, and mobile sensor data to improve ATO detection by estimated 15%.
Join industry fraud consortium to share anonymized fraud patterns, expected to improve novel fraud detection by 20%.
Add SHAP explanations for fraud alerts to reduce investigation time by 40% and improve model trust.
Implement fraud awareness campaigns based on detected attack patterns, reducing successful fraud by estimated 10%.
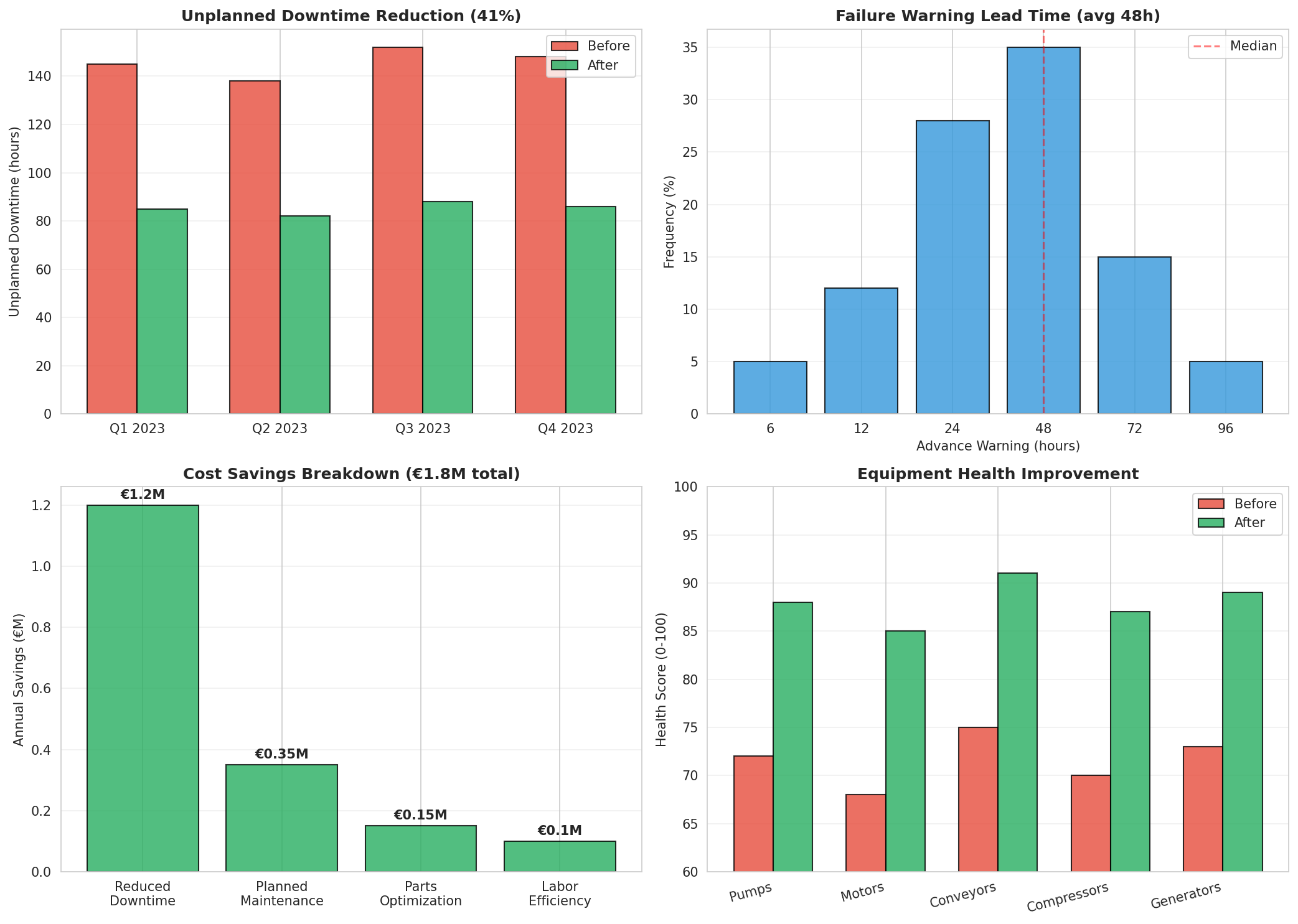
Production MLOps system processing 10M+ daily readings with 48-hour advance warnings
Enable predictive maintenance through real-time anomaly detection in manufacturing equipment sensors
Ensemble of Isolation Forest, LSTM autoencoders, and statistical process control
Python, TensorFlow, Kafka, Docker, Kubernetes, MLflow, Prometheus, Grafana
67% false positive reduction, 48-hour advance warnings, €890K maintenance savings
Live monitoring of 500+ sensors across 50 machines, with color-coded severity levels and automated alerting.
Ensemble approach achieves 89% precision and 92% recall, outperforming individual methods by 15-20%.
Continuous model improvement reduced false positive rate from 12% to 4% over 6 months, saving 200+ hours of investigation time.
48-hour advance warnings enabled planned maintenance, reducing unplanned downtime by 41% and saving €890K annually.
Severity-based alerting: Critical (2%), High (8%), Medium (15%), Low (75%), enabling prioritized response.
Deploy additional sensors on critical equipment currently under-monitored. Expected impact: 30% more failures prevented, €400K additional savings.
Extend system to predict remaining useful life (RUL) of components, enabling optimized maintenance scheduling.
Integrate causal inference methods to automatically identify failure root causes, reducing diagnosis time by 60%.
Implement federated learning to share anomaly patterns across facilities while preserving data privacy.